院长信箱
院长信箱:

tmgcxy@lzjtu.edu.cn

|
书记信箱
书记信箱:

345846274@qq.com

  • 网站首页

  • 学院概况

    • 学院简介
    • 现任领导
    • 机构设置
    • 专业设置
    • 院训与院风
    • 联系我们
  • 师资队伍

    • 博士生导师
    • 硕士生导师
      • 交通基础设施工程
      • 防灾减灾工程及防护工程
      • 结构工程
      • 力学
      • 桥梁工程
      • 水利工程
      • 隧道工程
      • 土木工程建造与管理
      • 岩土工程
    • 各系现任教师
      • 道桥工程系
      • 土木工程系
      • 铁道工程系
      • 水利水电工程系
      • 工程管理系
      • 工程力学系
      • 工程图学系
      • 实验室
    • 退休教师
  • 人才培养

    • 本科生培养
      • 教学动态
      • 实习实践
      • 制度文件
    • 研究生培养
      • 教学动态
      • 培养方案
      • 工程管理硕士(MEM)
      • 教学管理
      • 文件下载
    • 博士后流动站
    • 联合培养
    • 双创工作
  • 科学研究

    • 科研动态
    • 学术交流
  • 平台建设

    • 国家级平台
    • 省级平台
  • 党群工作

    • 党建工作
    • 统战工作
    • 工会活动
    • 政策文件
  • 学生工作

    • 学工动态
    • 团学动态
    • 招生就业
    • 征兵工作
    • 宿舍管理
    • 奖助贷勤
    • 心理健康
    • 制度文件
  • 校友专栏

    • 校友动态
    • 校友活动
    • 校友捐赠
    • 服务校友
    • 校友相册
人才培养

当前位置 网站首页 > 人才培养 > 研究生培养 > 教学动态 > 正文>

  • 本科生培养

    教学动态 实习实践 制度文件
  • 研究生培养

    教学动态 培养方案 工程管理硕士(MEM) 教学管理 文件下载
  • 博士后流动站

  • 联合培养

  • 双创工作

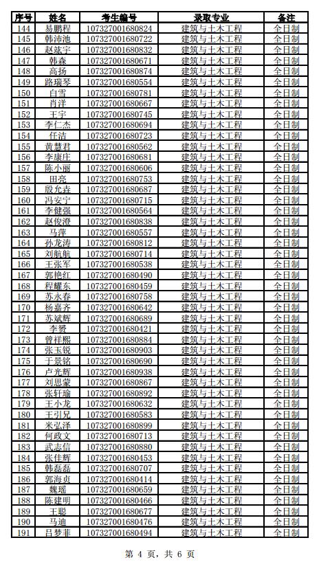
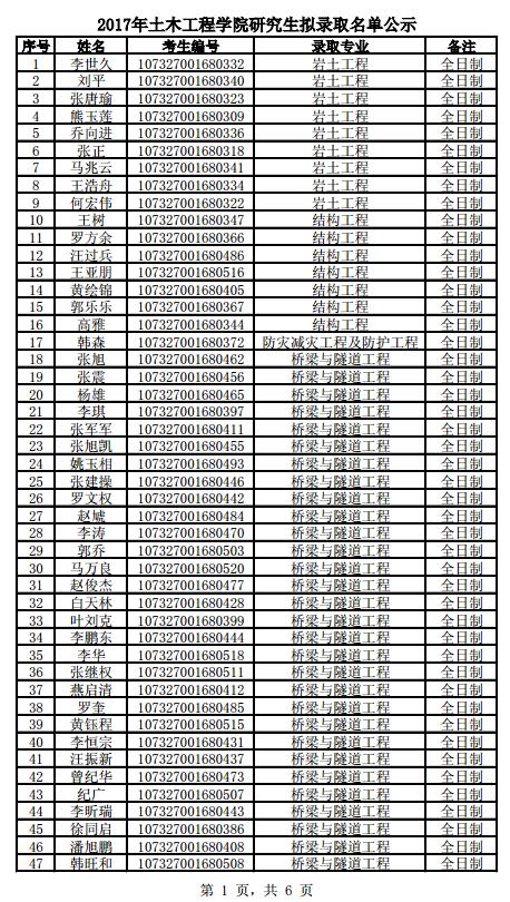
2017年土木工程学院研究生拟录取名单公示
2017-03-27 点击: 次 作者: 来源:

G:\1.jpgG:\2.jpgG:\3.jpgG:\4.jpgG:\5.jpgG:\6.jpg

上一篇:2019年硕士研究生复试通知

下一篇:土木工程学院2017年硕士研究生复试安排

 通讯地址:兰州市安宁区安宁西路88号兰州交通大学

 邮编:730070

Copyrights © 2024 All Rights Reserved. 版权所有 兰州交通大学土木工程学院  甘公网安备 62010502000510号 陇ICP备14001560号-2 设计制作 宏点网络

官方微信二维码

官方微信二维码